This website requires JavaScript.
Explore
Help
Register
Sign In
bacow
/
easy-rl
Watch
1
Star
0
Fork
0
You've already forked easy-rl
Code
Issues
Pull Requests
Actions
Packages
Projects
Releases
Wiki
Activity
Files
ef85f6316b257b9a14f43127983a27a7ea5d741a
easy-rl
/
codes
/
DoubleDQN
/
assets
/
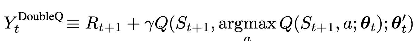
20201222150225327.png
johnjim0816
129c0c65fa
update codes
2021-11-18 15:41:27 +08:00
24 KiB
1368x138px
Raw
History
Reference in New Issue
View Git Blame
Copy Permalink