Files
easy-rl/projects/codes/DoubleDQN
2022-08-30 16:29:57 +08:00
..
2022-07-31 23:42:12 +08:00
2022-08-30 16:29:57 +08:00
2022-08-30 16:29:57 +08:00
2022-08-30 16:29:57 +08:00
2022-07-31 23:42:12 +08:00

食用本篇之前需要有DQN算法的基础参考DQN算法实战

原理简介

Double-DQN是2016年提出的算法灵感源自2010年的Double-Qlearning可参考论文Deep Reinforcement Learning with Double Q-learning。 跟Nature DQN一样Double-DQN也用了两个网络一个当前网络(对应用$Q$表示),一个目标网络(对应一般用$Q'$表示,为方便区分,以下用$Q_{tar}$代替)。我们先回忆一下,对于非终止状态,目标$Q_{tar}$值计算如下 在这里插入图片描述

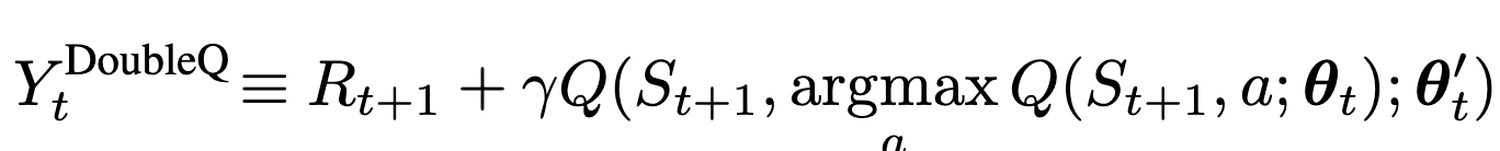
而在Double-DQN中不再是直接从目标$Q_{tar}$网络中选择各个动作中的最大$Q_{tar}$值,而是先从当前$Q$网络选择$Q$值最大对应的动作,然后代入到目标网络中计算对应的值: 在这里插入图片描述 Double-DQN的好处是Nature DQN中使用max虽然可以快速让Q值向可能的优化目标靠拢但是很容易过犹不及导致过度估计(Over Estimation),所谓过度估计就是最终我们得到的算法模型有很大的偏差(bias)。为了解决这个问题, DDQN通过解耦目标Q值动作的选择和目标Q值的计算这两步来达到消除过度估计的问题感兴趣可以阅读原论文。

伪代码如下: 在这里插入图片描述 当然也可以两个网络可以同时为当前网络和目标网络,如下: 在这里插入图片描述 或者这样更好理解如何同时为当前网络和目标网络: 在这里插入图片描述

代码实战

完整程序见github。结合上面的原理其实Double DQN改进来很简单基本只需要在update中修改几行代码,如下:

'''以下是Nature DQN的q_target计算方式
next_q_state_value = self.target_net(
next_state_batch).max(1)[0].detach()  # # 计算所有next states的Q'(s_{t+1})的最大值Q'为目标网络的q函数,比如tensor([ 0.0060, -0.0171,...,])
#计算 q_target
#对于终止状态此时done_batch[0]=1, 对应的expected_q_value等于reward
q_target = reward_batch + self.gamma * next_q_state_value * (1-done_batch[0])
'''
'''以下是Double DQNq_target计算方式与NatureDQN稍有不同'''
next_target_values = self.target_net(
next_state_batch)
#选出Q(s_t, a)对应的action代入到next_target_values获得target net对应的next_q_value即Q(s_t|a=argmax Q(s_t, a))
next_target_q_value = next_target_values.gather(1, torch.max(next_q_values, 1)[1].unsqueeze(1)).squeeze(1)
q_target = reward_batch + self.gamma * next_target_q_value * (1-done_batch[0])

reward变化结果如下 在这里插入图片描述 其中下边蓝色和红色分别表示Double DQN和Nature DQN在训练中的reward变化图而上面蓝色和绿色则表示Double DQN和Nature DQN在测试中的reward变化图。