Files
easy-rl/docs/errata.md
2022-04-01 09:20:23 +08:00

1.8 KiB
Raw Blame History

纸质版勘误表

如何使用勘误?首先找到你的书的印次,接下来对着下表索引印次,该印次之后所有的勘误都是你的书中所要注意的勘误,印次前的所有勘误在当印次和之后印次均已印刷修正。

第1版第1次印刷2022.03

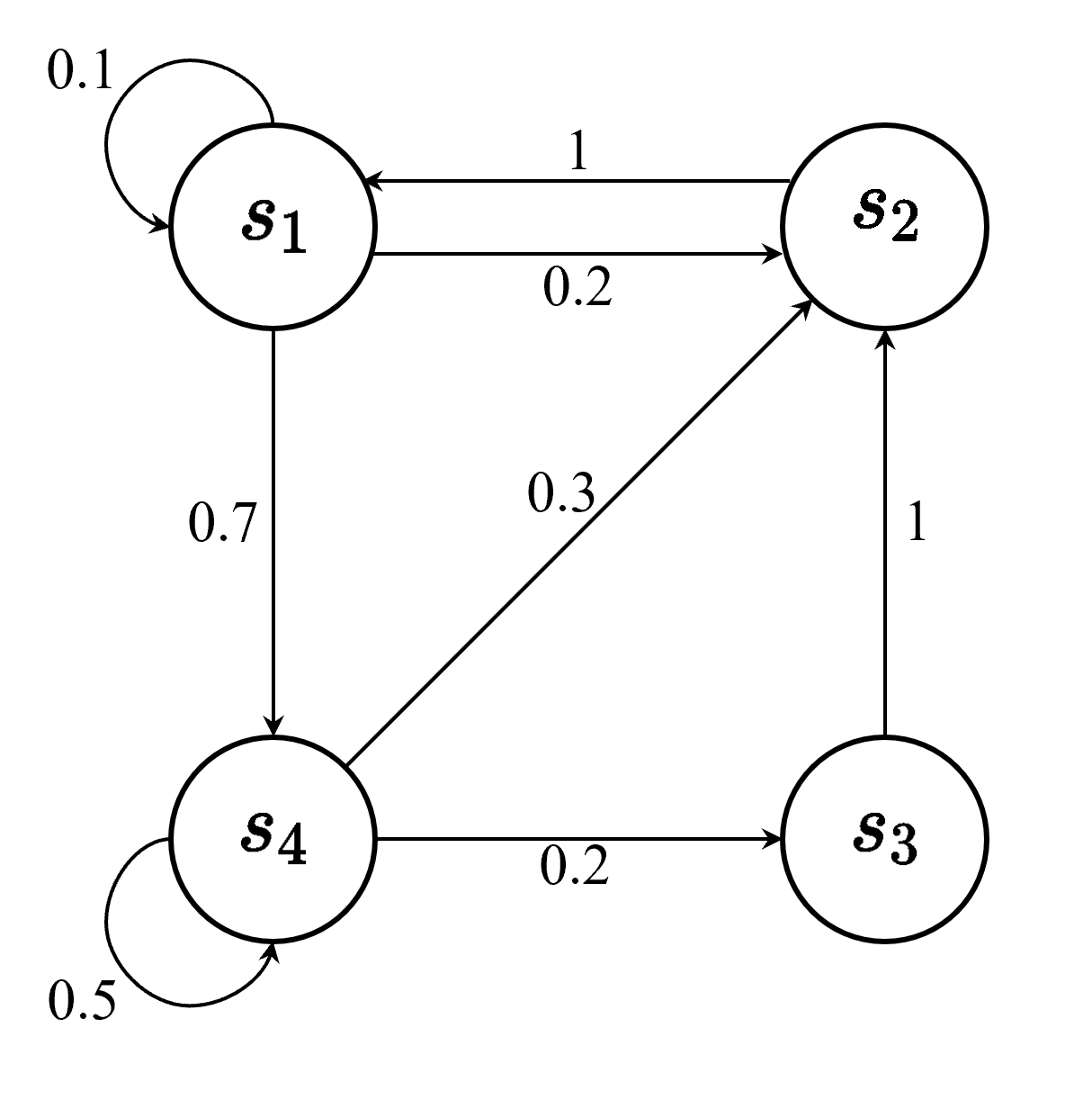
  • 35页的图2.2 和 41页的图2.5a替换成下图

  • 47页2.3.5节的第3行称为备份图backup diagram → 称为备份图backup diagram或回溯图
  • 76页式(3.1) 中 Gr 后面的数字改为下标,即

\begin{array}{l}
G_{13}=0 \\
G_{12}=r_{13}+\gamma G_{13}=-1+0.6 \times 0=-1 \\
G_{11}=r_{12}+\gamma G_{12}=-1+0.6 \times(-1)=-1.6 \\
G_{10}=r_{11}+\gamma G_{11}=-1+0.6 \times(-1.6)=-1.96 \\
G_9=r_{10}+\gamma G_{10}=-1+0.6 \times(-1.96)=-2.176 \approx-2.18 \\
G_8=r_9+\gamma G_9=-1+0.6 \times(-2.176)=-2.3056 \approx-2.3
\end{array}
  • 149页式(6.15) 改为

\begin{aligned}
V^{\pi}(s) &\le Q^{\pi}(s,\pi'(s)) \\
&=E\left[r_{t}+V^{\pi}\left(s_{t+1}\right) | s_{t}=s, a_{t}=\pi^{\prime}\left(s_{t}\right)\right]\\
&\le E\left[r_{t}+Q^{\pi}\left(s_{t+1}, \pi^{\prime}\left(s_{t+1}\right)\right) | s_{t}=s, a_{t}=\pi^{\prime}\left(s_{t}\right)\right] \\
&=E\left[r_{t}+r_{t+1}+V^{\pi}\left(s_{t+2}\right) |s_{t}=s, a_{t}=\pi^{\prime}\left(s_{t}\right)\right]  \\
& \le E\left[r_{t}+r_{t+1}+Q^{\pi}\left(s_{t+2},\pi'(s_{t+2}\right) | s_{t}=s, a_{t}=\pi^{\prime}\left(s_{t}\right)\right] \\
& = E\left[r_{t}+r_{t+1}+r_{t+2}+V^{\pi}\left(s_{t+3}\right) |s_{t}=s, a_{t}=\pi^{\prime}\left(s_{t}\right)\right] \\
& \le \cdots\\
& \le E\left[r_{t}+r_{t+1}+r_{t+2}+\cdots | s_{t}=s, a_{t}=\pi^{\prime}\left(s_{t}\right)\right]  \\
& = V^{\pi'}(s)
\end{aligned}
  • 229页第2行很强的序列 → 很长的序列