Files
easy-rl/docs/chapter5/chapter5.md
2020-10-03 20:58:35 +08:00

30 KiB
Raw Blame History

PPO

From On-policy to Off-policy

在讲 PPO 之前,我们先讲一下 on-policy 和 off-policy 这两种 training 方法的区别。 在 reinforcement learning 里面,我们要 learn 的就是一个 agent。

  • 如果要 learn 的 agent 跟和环境互动的 agent 是同一个的话, 这个叫做on-policy(同策略)
  • 如果要 learn 的 agent 跟和环境互动的 agent 不是同一个的话, 那这个叫做off-policy(异策略)

比较拟人化的讲法是如果要学习的那个 agent一边跟环境互动一边做学习这个叫 on-policy。 如果它在旁边看别人玩,通过看别人玩来学习的话,这个叫做 off-policy。

为什么我们会想要考虑 off-policy ?让我们来想想 policy gradient。Policy gradient 是 on-policy 的做法,因为在做 policy gradient 时,我们需要有一个 agent、一个 policy 和一个 actor。这个 actor 先去跟环境互动去搜集资料,搜集很多的 $\tau$,根据它搜集到的资料,会按照 policy gradient 的式子去 update policy 的参数。所以 policy gradient 是一个 on-policy 的 algorithm。

PPO 是 policy gradient 的一个变形,它是现在 OpenAI 默认的 reinforcement learning 的 algorithm。


\nabla \bar{R}_{\theta}=E_{\tau \sim p_{\theta}(\tau)}\left[R(\tau) \nabla \log p_{\theta}(\tau)\right]

问题是上面这个 update 的式子中的 E_{\tau \sim p_{\theta}(\tau)} 应该是你现在的 policy \theta 所 sample 出来的 trajectory \tau 做 expectation。一旦 update 了参数,从 \theta 变成 \theta' $p_\theta(\tau)$这个概率就不对了,之前 sample 出来的 data 就变的不能用了。所以 policy gradient 是一个会花很多时间来 sample data 的 algorithm你会发现大多数时间都在 sample dataagent 去跟环境做互动以后,接下来就要 update 参数。你只能 update 参数一次。接下来你就要重新再去 collect data 然后才能再次update 参数。

这显然是非常花时间的,所以我们想要从 on-policy 变成 off-policy。 这样做就可以用另外一个 policy 另外一个 actor \theta' 去跟环境做互动。用 \theta' collect 到的 data 去训练 $\theta$。假设我们可以用 \theta' collect 到的 data 去训练 $\theta$,意味着说我们可以把 \theta' collect 到的 data 用非常多次,我们可以执行 gradient ascent 好几次,我们可以 update 参数好几次, 都只要用同一笔 data 就好了。因为假设 \theta 有能力学习另外一个 actor \theta' 所 sample 出来的 data 的话, 那 \theta' 就只要 sample 一次,也许 sample 多一点的 data\theta 去 update 很多次,这样就会比较有效率。

Importance Sampling

具体怎么做呢?这边就需要介绍 importance sampling 的概念。假设你有一个 function $f(x)$,你要计算从 p 这个 distribution sample $x$,再把 x 带到 f 里面,得到 $f(x)$。你要该怎么计算这个 f(x) 的期望值?假设你不能对 p 这个distribution 做积分的话,那你可以从 p 这个 distribution 去 sample 一些 data $x^i$。把 x^i 代到 f(x) 里面,然后取它的平均值,就可以近似 f(x) 的期望值。

现在有另外一个问题,我们没有办法从 p 这个 distribution 里面 sample data。假设我们不能从 p sample data只能从另外一个 distribution q 去 sample dataq 可以是任何 distribution。我们不能够从 p 去 sample data但可以从 q 去 sample $x$。我们从 q 去 sample x^i 的话就不能直接套下面的式子。


E_{x \sim p}[f(x)] \approx \frac{1}{N} \sum_{i=1}^N f(x^i)

因为上式是假设你的 x 都是从 p sample 出来的。所以做一个修正,修正是这样子的。期望值$E_{x \sim p}[f(x)]$其实就是$\int f(x) p(x) dx$,我们对其做如下的变换:


\int f(x) p(x) d x=\int f(x) \frac{p(x)}{q(x)} q(x) d x=E_{x \sim q}[f(x){\frac{p(x)}{q(x)}}]

我们就可以写成对 q 里面所 sample 出来的 x 取期望值。我们从 q 里面 sample x然后再去计算 $f(x) \frac{p(x)}{q(x)}$,再去取期望值。所以就算我们不能从 p 里面去 sample data只要能够从 q 里面去 sample data然后代入上式你就可以计算从 p 这个 distribution sample x 代入 f 以后所算出来的期望值。

这边是从 q 做 sample所以从 q 里 sample 出来的每一笔 data你需要乘上一个 weight 来修正这两个 distribution 的差异weight 就是 $\frac{p(x)}{q(x)}$。q(x) 可以是任何 distribution唯一的限制就是 q(x) 的概率是 0 的时候,p(x) 的概率不为 0不然这样会没有定义。假设 q(x) 的概率是 0 的时候,p(x) 的概率也都是 0 的话,那这样 p(x) 除以 $q(x)$是有定义的。所以这个时候你就可以 apply importance sampling 这个技巧。你就可以从 p 做 sample 换成从 q 做 sample。

Importance sampling 有一些 issue。虽然理论上你可以把 p 换成任何的 q。但是在实现上 p 和 q 不能差太多。差太多的话,会有一些问题。什么样的问题呢?


E_{x \sim p}[f(x)]=E_{x \sim q}\left[f(x) \frac{p(x)}{q(x)}\right]

虽然上式成立。但上式左边是 f(x) 的期望值,它的 distribution 是 p上式右边是 f(x) \frac{p(x)}{q(x)} 的期望值,它的 distribution 是 q。如果不是算期望值而是算 variance 的话。这两个 variance 是不一样的。两个 random variable 的 mean 一样,并不代表它的 variance 一样。

我们可以代一下方差的公式:


\operatorname{Var}_{x \sim p}[f(x)]=E_{x \sim p}\left[f(x)^{2}\right]-\left(E_{x \sim p}[f(x)]\right)^{2}

\begin{aligned}
\operatorname{Var}_{x \sim q}\left[f(x) \frac{p(x)}{q(x)}\right] &=E_{x \sim q}\left[\left(f(x) \frac{p(x)}{q(x)}\right)^{2}\right]-\left(E_{x \sim q}\left[f(x) \frac{p(x)}{q(x)}\right]\right)^{2} \\
&=E_{x \sim p}\left[f(x)^{2} \frac{p(x)}{q(x)}\right]-\left(E_{x \sim p}[f(x)]\right)^{2}
\end{aligned}

\operatorname{Var}_{x \sim p}[f(x)]\operatorname{Var}_{x \sim q}\left[f(x) \frac{p(x)}{q(x)}\right] 的差别在第一项是不同的, \operatorname{Var}_{x \sim q}\left[f(x) \frac{p(x)}{q(x)}\right] 的第一项多乘了$\frac{p(x)}{q(x)}$,如果\frac{p(x)}{q(x)} 差距很大的话, $\operatorname{Var}_{x \sim q}\left[f(x) \frac{p(x)}{q(x)}\right]$的 variance 就会很大。所以虽然理论上它们的 expectation 一样,也就是说,你只要对 p 这个 distribution sample 够多次q 这个 distribution sample 够多,你得到的结果会是一样的。但是假设你 sample 的次数不够多,因为它们的 variance 差距是很大的,所以你就有可能得到非常大的差别。

举个例子,当 p(x)q(x) 差距很大的时候,会发生什么样的问题。假设蓝线是 p(x) 的distribution绿线是 q(x) 的 distribution红线是 $f(x)$。如果我们要计算$f(x)$的期望值,从 p(x) 这个 distribution 做 sample 的话,那显然 E_{x \sim p}[f(x)] 是负的,因为左边那块区域 p(x) 的概率很高,所以要 sample 的话,都会 sample 到这个地方,而 f(x) 在这个区域是负的, 所以理论上这一项算出来会是负。

接下来我们改成从 q(x) 这边做 sample因为 q(x) 在右边这边的概率比较高,所以如果你 sample 的点不够的话,那你可能都只 sample 到右侧。如果你都只 sample 到右侧的话,你会发现说,算 $E_{x \sim q}\left[f(x) \frac{p(x)}{q(x)}\right]$这一项,搞不好还应该是正的。你这边 sample 到这些点,然后你去计算它们的 f(x) \frac{p(x)}{q(x)} 都是正的,所以你 sample 到这些点都是正的。 你取期望值以后,也都是正的。为什么会这样,因为你 sample 的次数不够多,因为假设你 sample 次数很少,你只能 sample 到右边这边。左边这边虽然概率很低,但也不是没有可能被 sample 到。假设你今天好不容易 sample 到左边的点,因为左边的点,p(x)q(x) 是差很多的, 这边 p(x) 很小,q(x) 很大。今天 f(x) 好不容易终于 sample 到一个负的,这个负的就会被乘上一个非常大的 weight ,这样就可以平衡掉刚才那边一直 sample 到 positive 的 value 的情况。最终你算出这一项的期望值,终究还是负的。但前提是你要 sample 够多次,这件事情才会发生。但有可能 sample 不够,E_{x \sim p}[f(x)]E_{x \sim q}\left[f(x) \frac{p(x)}{q(x)}\right] 就有可能有很大的差距。这就是 importance sampling 的问题。

现在要做的事情就是把 importance sampling 用在 off-policy 的 case。把 on-policy training 的 algorithm 改成 off-policy training 的 algorithm。怎么改呢之前我们是拿 \theta 这个 policy 去跟环境做互动sample 出 trajectory $\tau$,然后计算 $R(\tau) \nabla \log p_{\theta}(\tau)$。

现在我们不用 \theta 去跟环境做互动,假设有另外一个 policy $\theta'$它就是另外一个actor。它的工作是他要去做demonstration\theta' 的工作是要去示范给\theta 看。它去跟环境做互动,告诉 \theta 说,它跟环境做互动会发生什么事。然后,借此来训练$\theta$。我们要训练的是 \theta \theta' 只是负责做 demo负责跟环境做互动。

我们现在的 \tau 是从 \theta' sample 出来的,是拿 \theta' 去跟环境做互动。所以 sample 出来的 \tau 是从 \theta' sample 出来的这两个distribution 不一样。但没有关系,假设你本来是从 p 做 sample但你发现你不能够从 p 做sample所以我们不拿\theta 去跟环境做互动。你可以把 p 换 q然后在后面这边补上一个 importance weight。现在的状况就是一样\theta 换成 \theta' 后,要补上一个 importance weight $\frac{p_{\theta}(\tau)}{p_{\theta^{\prime}}(\tau)}$。这个 importance weight 就是某一个 trajectory \tau\theta 算出来的概率除以这个 trajectory $\tau$,用 \theta' 算出来的概率。这一项是很重要的,因为今天你要 learn 的是 actor \theta\theta' 是不太一样的。\theta' 会见到的情形跟 \theta 见到的情形不见得是一样的,所以中间要做一个修正的项。

Q: 现在的 data 是从 \theta' sample 出来的,从 \theta 换成 \theta' 有什么好处呢?

A: 因为现在跟环境做互动是 \theta' 而不是 $\theta$。所以 sample 出来的东西跟 \theta 本身是没有关系的。所以你就可以让 \theta' 做互动 sample 一大堆的 data\theta 可以 update 参数很多次,一直到 \theta train 到一定的程度update 很多次以后,\theta' 再重新去做 sample这就是 on-policy 换成 off-policy 的妙用。

实际在做 policy gradient 的时候,我们并不是给整个 trajectory \tau 都一样的分数,而是每一个 state-action 的 pair 会分开来计算。实际上 update gradient 的时候,我们的式子是长这样子的。


=E_{\left(s_{t}, a_{t}\right) \sim \pi_{\theta}}\left[A^{\theta}\left(s_{t}, a_{t}\right) \nabla \log p_{\theta}\left(a_{t}^{n} | s_{t}^{n}\right)\right]

我们用 \theta 这个 actor 去 sample 出 s_t 跟 $a_t$sample 出 state 跟 action 的 pair我们会计算这个 state 跟 action pair 它的 advantage 就是它有多好。$A^{\theta}\left(s_{t}, a_{t}\right)$就是 accumulated 的 reward 减掉 bias这一项就是估测出来的。它要估测的是在 state s_t 采取 action a_t 是好的,还是不好的。那接下来后面会乘上 $\nabla \log p_{\theta}\left(a_{t}^{n} | s_{t}^{n}\right)$,也就是说如果 $A^{\theta}\left(s_{t}, a_{t}\right)$是正的,就要增加概率, 如果是负的,就要减少概率。

那现在用了 importance sampling 的技术把 on-policy 变成 off-policy就从 \theta 变成 $\theta'$。所以现在 $s_t$、a_t\theta' 另外一个actor 跟环境互动以后所 sample 到的data。 但是拿来训练要调整参数是 model $\theta$。因为 \theta'\theta 是不同的 model所以你要做一个修正的项。这项修正的项就是用 importance sampling 的技术,把 $s_t$、a_t\theta sample 出来的概率除掉$s_t$、a_t\theta' sample 出来的概率。


=E_{\left(s_{t}, a_{t}\right) \sim \pi_{\theta^{\prime}}}\left[\frac{P_{\theta}\left(s_{t}, a_{t}\right)}{P_{\theta^{\prime}}\left(s_{t}, a_{t}\right)} A^{\theta}\left(s_{t}, a_{t}\right) \nabla \log p_{\theta}\left(a_{t}^{n} | s_{t}^{n}\right)\right]

这边 A^{\theta}(s_t,a_t) 有一个上标 $\theta$\theta 代表说这个是 actor \theta 跟环境互动的时候所计算出来的 A。但是实际上从 \theta 换到 \theta' 的时候,A^{\theta}(s_t,a_t) 应该改成 $A^{\theta'}(s_t,a_t)$为什么A 这一项是想要估测说现在在某一个 state 采取某一个 action接下来会得到 accumulated reward 的值减掉 base line 。你怎么估 A 这一项,你就会看在 state $s_t$,采取 action $a_t$,接下来会得到的 reward 的总和,再减掉 baseline。之前是 \theta 在跟环境做互动,所以你观察到的是 \theta 可以得到的 reward。但现在是 \theta' 在跟环境做互动,所以你得到的这个 advantage 其实是根据 \theta' 所 estimate 出来的 advantage。但我们现在先不要管那么多 我们就假设这两项可能是差不多的。

那接下来,我们可以拆解 p_{\theta}\left(s_{t}, a_{t}\right) 和 $p_{\theta'}\left(s_{t}, a_{t}\right)$,即


\begin{aligned}
p_{\theta}\left(s_{t}, a_{t}\right)&=p_{\theta}\left(a_{t}|s_{t}\right) p_{\theta}(s_t) \\
p_{\theta'}\left(s_{t}, a_{t}\right)&=p_{\theta'}\left(a_{t}|s_{t}\right) p_{\theta'}(s_t) 
\end{aligned}

于是我们得到下式:


=E_{\left(s_{t}, a_{t}\right) \sim \pi_{\theta^{\prime}}}\left[\frac{p_{\theta}\left(a_{t} | s_{t}\right)}{p_{\theta^{\prime}}\left(a_{t} | s_{t}\right)} \frac{p_{\theta}\left(s_{t}\right)}{p_{\theta^{\prime}}\left(s_{t}\right)} A^{\theta^{\prime}}\left(s_{t}, a_{t}\right) \nabla \log p_{\theta}\left(a_{t}^{n} | s_{t}^{n}\right)\right]

然后这边需要做一件事情是,假设 model 是 \theta 的时候,你看到s_t 的概率,跟 model 是\theta' 的时候,你看到s_t 的概率是差不多的,即$p_{\theta}(s_t)=p_{\theta'}(s_t)$。因为它们是一样的,所以你可以把它删掉,即


=E_{\left(s_{t}, a_{t}\right) \sim \pi_{\theta^{\prime}}}\left[\frac{p_{\theta}\left(a_{t} | s_{t}\right)}{p_{\theta^{\prime}}\left(a_{t} | s_{t}\right)} A^{\theta^{\prime}}\left(s_{t}, a_{t}\right) \nabla \log p_{\theta}\left(a_{t}^{n} | s_{t}^{n}\right)\right]  \tag{1}

为什么可以假设它是差不多的。举例来说,会看到什么 state 往往跟你会采取什么样的action 是没有太大的关系的。比如说你玩不同的 Atari 的游戏,其实你看到的游戏画面都是差不多的,所以也许不同的 \thetas_t 是没有影响的。但是有一个更直觉的理由就是这一项到时候真的要你算,你会算吗?因为想想看这项要怎么算,这一项你还要说我有一个参数$\theta$,然后拿\theta 去跟环境做互动,算s_t 出现的概率,这个你根本很难算。尤其是你如果 input 是image 的话, 同样的 s_t 根本就不会出现第二次。你根本没有办法估这一项, 所以干脆就无视这个问题。

但是 $p_{\theta}(a_t|s_t)$很好算。你手上有 \theta 这个参数,它就是个 network。你就把s_t 带进去,s_t 就是游戏画面,你把游戏画面带进去,它就会告诉你某一个 state 的 a_t 概率是多少。我们其实有个 policy 的 networks_t 带进去,它会告诉我们每一个 a_t 的概率是多少。所以 \frac{p_{\theta}\left(a_{t} | s_{t}\right)}{p_{\theta^{\prime}}\left(a_{t} | s_{t}\right)} 这一项,你只要知道\theta\theta' 的参数就可以算。

现在我们得到一个新的 objective function。


J^{\theta^{\prime}}(\theta)=E_{\left(s_{t}, a_{t}\right) \sim \pi_{\theta^{\prime}}}\left[\frac{p_{\theta}\left(a_{t} | s_{t}\right)}{p_{\theta^{\prime}}\left(a_{t} | s_{t}\right)} A^{\theta^{\prime}}\left(s_{t}, a_{t}\right)\right]

式(1)是 gradient其实我们可以从 gradient 去反推原来的 objective function。这边有一个公式


\nabla f(x)=f(x) \nabla \log f(x)

我们可以用这个公式来反推 objective function要注意一点\theta 求梯度时,p_{\theta^{\prime}}(a_{t} | s_{t})A^{\theta^{\prime}}\left(s_{t}, a_{t}\right) 都是常数。

所以实际上,当我们 apply importance sampling 的时候,要去 optimize 的那一个 objective function 就长这样子,我们把它写作 $J^{\theta^{\prime}}(\theta)$。为什么写成 J^{\theta^{\prime}}(\theta) 呢,这个括号里面那个 \theta 代表我们要去 optimize 的那个参数。\theta' 是说我们拿 \theta' 去做 demonstration就是现在真正在跟环境互动的是 $\theta'$。因为 \theta 不跟环境做互动,是 \theta' 在跟环境互动。

然后你用 \theta' 去跟环境做互动sample 出 $s_t$、a_t 以后,你要去计算 s_ta_t 的 advantage然后你再去把它乘上 $\frac{p_{\theta}\left(a_{t} | s_{t}\right)}{p_{\theta^{\prime}}\left(a_{t} | s_{t}\right)}$。\frac{p_{\theta}\left(a_{t} | s_{t}\right)}{p_{\theta^{\prime}}\left(a_{t} | s_{t}\right)} 是好算的,A^{\theta^{\prime}}\left(s_{t}, a_{t}\right) 可以从这个 sample 的结果里面去估测出来的,所以 J^{\theta^{\prime}}(\theta) 是可以算的。实际上在 update 参数的时候,就是按照式(1) 来 update 参数。

PPO

我们可以把 on-policy 换成 off-policy但 importance sampling 有一个 issue如果 p_{\theta}\left(a_{t} | s_{t}\right)p_{\theta'}\left(a_{t} | s_{t}\right) 差太多的话,这两个 distribution 差太多的话importance sampling 的结果就会不好。怎么避免它差太多呢?这个就是 Proximal Policy Optimization (PPO) 在做的事情。它实际上做的事情就是这样,在 off-policy 的方法里要 optimize 的是 $J^{\theta^{\prime}}(\theta)$。但是这个 objective function 又牵涉到 importance sampling。在做 importance sampling 的时候,p_{\theta}\left(a_{t} | s_{t}\right) 不能跟 $p_{\theta'}\left(a_{t} | s_{t}\right)$差太多。你做 demonstration 的 model 不能够跟真正的 model 差太多,差太多的话 importance sampling 的结果就会不好。我们在 training 的时候,多加一个 constrain。这个 constrain 是 \theta\theta' output 的 action 的 KL divergence简单来说这一项的意思就是要衡量说 \theta\theta' 有多像。

然后我们希望在 training 的过程中learn 出来的 \theta\theta' 越像越好。因为如果 \theta\theta' 不像的话,最后的结果就会不好。所以在 PPO 里面有两个式子,一方面是 optimize 本来要 optimize 的东西,但再加一个 constrain。这个 constrain 就好像那个 regularization 的 term 一样,在做 machine learning 的时候不是有 L1/L2 的 regularization。这一项也很像 regularization这样 regularization 做的事情就是希望最后 learn 出来的 \theta 不要跟 \theta' 太不一样。

PPO 有一个前身叫做 TRPOTRPO 的式子如下式所示。


\begin{aligned}
J_{T R P O}^{\theta^{\prime}}(\theta)=E_{\left(s_{t}, a_{t}\right) \sim \pi_{\theta^{\prime}}}\left[\frac{p_{\theta}\left(a_{t} | s_{t}\right)}{p_{\theta^{\prime}}\left(a_{t} | s_{t}\right)} A^{\theta^{\prime}}\left(s_{t}, a_{t}\right)\right] \\ \\
\mathrm{KL}\left(\theta, \theta^{\prime}\right)<\delta
\end{aligned}

它与 PPO 不一样的地方 是 constrain 摆的位置不一样PPO是直接把 constrain 放到你要 optimize 的那个式子里面,然后你就可以用 gradient ascent 的方法去 maximize 这个式子。但 TRPO 是把 KL divergence 当作 constrain它希望 \theta\theta' 的 KL divergence 小于一个$\delta$。如果你是用 gradient based optimization 时,有 constrain 是很难处理的。

PPO 是很难处理的,因为它是把 KL divergence constrain 当做一个额外的 constrain没有放 objective 里面,所以它很难算。所以不想搬石头砸自己的脚的话, 你就用 PPO 不要用 TRPO。看文献上的结果是PPO 跟 TRPO 可能 performance 差不多,但 PPO 在实现上比 TRPO 容易的多。

Q: KL divergence 到底指的是什么?

A: 这边我是直接把 KL divergence 当做一个 functioninput 是 \theta 跟 $\theta'$,但我的意思并不是说把 \theta\theta' 当做一个distribution算这两个distribution 之间的距离,我不是这个意思。所谓的 \theta\theta' 的距离并不是参数上的距离,而是 behavior 上的距离。

假设你有一个 model有一个 actor 它是 $\theta$,你有另外一个 actor 的参数是 \theta' ,所谓参数上的距离就是你算这两组参数有多像。我今天所讲的不是参数上的距离, 而是它们行为上的距离。就是你先带进去一个 state s它会对这个 action 的 space output 一个 distribution。假设你有 3 个 actions3 个可能的 actions 就 output 3 个值。那今天所指的 distance 是 behavior distance。也就是说给同样的 state 的时候,输出 action 之间的差距。这两个 actions 的 distribution 都是一个概率分布。所以就可以计算这两个概率分布的 KL divergence。把不同的 state output 的这两个 distribution 的 KL divergence 平均起来才是我这边所指的两个 actor 间的 KL divergence。你可能说怎么不直接算这个 \theta\theta' 之间的距离,甚至不要用 KL divergence 算L1 跟 L2 的 norm 也可以保证 \theta\theta' 很接近。在做 reinforcement learning 的时候,之所以我们考虑的不是参数上的距离,而是 action 上的距离,是因为很有可能对 actor 来说,参数的变化跟 action 的变化不一定是完全一致的。有时候你参数小小变了一下,它可能 output 的行为就差很多。或是参数变很多,但 output 的行为可能没什么改变。**所以我们真正在意的是这个actor 的行为上的差距,而不是它们参数上的差距。**所以在做 PPO 的时候,所谓的 KL divergence 并不是参数的距离,而是 action 的距离。

我们来看一下 PPO1 的 algorithm。它先 initial 一个 policy 的参数 $\theta^0$。然后在每一个 iteration 里面呢,你要用参数 $\theta^k$\theta^k 就是你在前一个 training 的 iteration得到的 actor 的参数,你用 \theta^k 去跟环境做互动sample 到一大堆 state-action 的pair。

然后你根据 \theta^k 互动的结果,估测一下$A^{\theta^{k}}\left(s_{t}, a_{t}\right)$。然后你就 apply PPO 的 optimization 的 formulation。但跟原来的policy gradient 不一样,原来的 policy gradient 只能 update 一次参数update 完以后,你就要重新 sample data。但是现在不用你拿 \theta^k 去跟环境做互动sample 到这组 data 以后,你可以让 \theta update 很多次,想办法去 maximize objective function。这边 \theta update 很多次没有关系,因为我们已经有做 importance sampling所以这些experience这些 state-action 的 pair 是从 \theta^k sample 出来的没有关系。\theta 可以 update 很多次,它跟 \theta^k 变得不太一样也没有关系,你还是可以照样训练 $\theta$。

在 PPO 的 paper 里面还有一个 adaptive KL divergence。这边会遇到一个问题就是 \beta 要设多少它就跟那个regularization 一样。regularization 前面也要乘一个 weight所以这个 KL divergence 前面也要乘一个 weight\beta 要设多少呢?所以有个动态调整 \beta 的方法。

  • 在这个方法里面呢,你先设一个 KL divergence你可以接受的最大值。然后假设你发现说你 optimize 完这个式子以后KL divergence 的项太大,那就代表说后面这个 penalize 的 term 没有发挥作用,那就把 \beta 调大。
  • 那另外你定一个 KL divergence 的最小值。如果发现 optimize 完上面这个式子以后KL divergence 比最小值还要小,那代表后面这一项的效果太强了,你怕他只弄后面这一项,那 \theta\theta^k 都一样,这不是你要的,所以你这个时候你叫要减少 $\beta$。

所以 \beta 是可以动态调整的。这个叫做 adaptive KL penalty

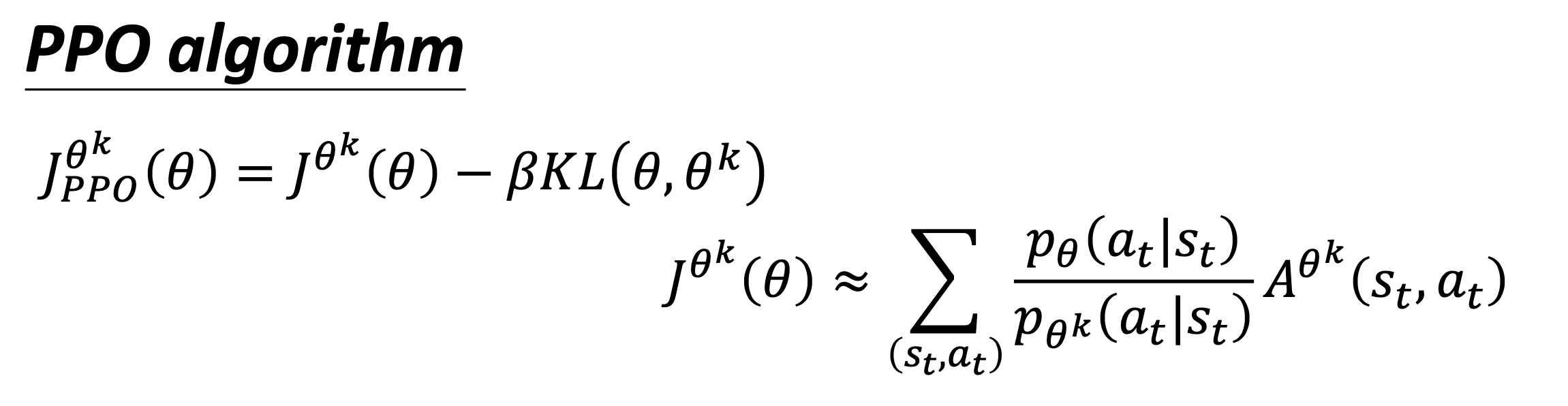
如果你觉得算 KL divergence 很复杂。有一个PPO2。PPO2 要去 maximize 的 objective function 如下式所示,它的式子里面就没有 KL divergence 。


\begin{aligned}
J_{P P O 2}^{\theta^{k}}(\theta) \approx \sum_{\left(s_{t}, a_{t}\right)} \min &\left(\frac{p_{\theta}\left(a_{t} | s_{t}\right)}{p_{\theta^{k}}\left(a_{t} | s_{t}\right)} A^{\theta^{k}}\left(s_{t}, a_{t}\right),\right.\\
&\left.\operatorname{clip}\left(\frac{p_{\theta}\left(a_{t} | s_{t}\right)}{p_{\theta^{k}}\left(a_{t} | s_{t}\right)}, 1-\varepsilon, 1+\varepsilon\right) A^{\theta^{k}}\left(s_{t}, a_{t}\right)\right)
\end{aligned}

这个式子看起来有点复杂,但实际 implement 就很简单。我们来实际看一下说这个式子到底是什么意思。 min 这个 operator 做的事情是第一项跟第二项里面选比较小的那个。第二项前面有个 clip functionclip 这个 function 的意思是说,在括号里面有 3 项,如果第一项小于第二项的话,那就 output 1-\varepsilon 。第一项如果大于第三项的话那就output $1+\varepsilon$。 \varepsilon 是一个 hyper parameter你要 tune 的,你可以设成 0.1 或 设 0.2 。 假设这边设 0.2 的话,如下式所示


\operatorname{clip}\left(\frac{p_{\theta}\left(a_{t} | s_{t}\right)}{p_{\theta^{k}}\left(a_{t} | s_{t}\right)}, 0.8, 1.2\right)

如果$\frac{p_{\theta}\left(a_{t} | s_{t}\right)}{p_{\theta^{k}}\left(a_{t} | s_{t}\right)}$算出来小于 0.8,那就当作 0.8。如果算出来大于 1.2那就当作1.2。

我们先看一下下面这项这个算出来到底是什么的东西。


\operatorname{clip}\left(\frac{p_{\theta}\left(a_{t} | s_{t}\right)}{p_{\theta^{k}}\left(a_{t} | s_{t}\right)}, 1-\varepsilon, 1+\varepsilon\right)

上图的横轴是 $\frac{p_{\theta}\left(a_{t} | s_{t}\right)}{p_{\theta^{k}}\left(a_{t} | s_{t}\right)}$,纵轴是 clip function 实际的输出。

  • 如果 \frac{p_{\theta}\left(a_{t} | s_{t}\right)}{p_{\theta^{k}}\left(a_{t} | s_{t}\right)} 大于$1+\varepsilon$,输出就是 $1+\varepsilon$。
  • 如果小于 $1-\varepsilon$ 它输出就是 $1-\varepsilon$。
  • 如果介于 1+\varepsilon1-\varepsilon 之间, 就是输入等于输出。

  • \frac{p_{\theta}\left(a_{t} | s_{t}\right)}{p_{\theta^{k}}\left(a_{t} | s_{t}\right)} 是绿色的线;
  • \operatorname{clip}\left(\frac{p_{\theta}\left(a_{t} | s_{t}\right)}{p_{\theta^{k}}\left(a_{t} | s_{t}\right)}, 1-\varepsilon, 1+\varepsilon\right) 是蓝色的线;
  • 在绿色的线跟蓝色的线中间,我们要取一个最小的。假设前面乘上的这个 term A它是大于0 的话,取最小的结果,就是红色的这一条线。

如果 A 小于0 的话,取最小的以后,就得到红色的这一条线。 这一个式子虽然看起来有点复杂,实现起来是蛮简单的,因为这个式子想要做的事情就是希望 p_{\theta}(a_{t} | s_{t}) 跟$p_{\theta^k}(a_{t} | s_{t})$,也就是你拿来做 demonstration 的 model 跟你实际上 learn 的 model在 optimize 以后不要差距太大。那你要怎么让它做到不要差距太大呢?

如果 A 大于 0也就是某一个 state-action 的pair 是好的。那我们希望增加这个 state-action pair 的概率。也就是说,我们想要让 p_{\theta}(a_{t} | s_{t}) 越大越好,但它跟 p_{\theta^k}(a_{t} | s_{t}) 的比值不可以超过 $1+\varepsilon$。如果超过 1+\varepsilon 的话,就没有 benefit 了。红色的线就是我们的 objective function我们希望 objective 越大越好,我们希望 p_{\theta}(a_{t} | s_{t}) 越大越好。但是$\frac{p_{\theta}\left(a_{t} | s_{t}\right)}{p_{\theta^{k}}\left(a_{t} | s_{t}\right)}$只要大过 $1+\varepsilon$,就没有 benefit 了。

所以今天在 train 的时候,当 p_{\theta}(a_{t} | s_{t}) 被 train 到 $\frac{p_{\theta}\left(a_{t} | s_{t}\right)}{p_{\theta^{k}}\left(a_{t} | s_{t}\right)}$大于 1+\varepsilon 时,它就会停止。

假设 p_{\theta}(a_{t} | s_{t})p_{\theta^k}(a_{t} | s_{t}) 还要小,那我们的目标是要让 p_{\theta}(a_{t} | s_{t}) 越大越好。

  • 假设这个 advantage 是正的,我们希望 p_{\theta}(a_{t} | s_{t}) 越大越好。假设这个 action 是好的,我们当然希望这个 action 被采取的概率越大越好。所以假设 p_{\theta}(a_{t} | s_{t}) 还比 p_{\theta^k}(a_{t} | s_{t}) 小,那就尽量把它挪大,但只要大到 1+\varepsilon 就好。
  • 负的时候也是一样,如果某一个 state-action pair 是不好的,我们希望把 p_{\theta}(a_{t} | s_{t}) 减小。如果 p_{\theta}(a_{t} | s_{t})p_{\theta^k}(a_{t} | s_{t}) 还大,那你就尽量把它压小,压到$\frac{p_{\theta}\left(a_{t} | s_{t}\right)}{p_{\theta^{k}}\left(a_{t} | s_{t}\right)}$是1-\epsilon 的时候就停了,就不要再压得更小。

这样的好处就是, 你不会让 p_{\theta}(a_{t} | s_{t})p_{\theta^k}(a_{t} | s_{t}) 差距太大。要实现这个东西,很简单。

上图是 PPO 跟其它方法的比较。Actor-Critic 和 A2C+Trust Region 方法是 actor-critic based 的方法。PPO 是紫色线的方法,这边每张图就是某一个 RL 的任务,你会发现说在多数的 cases 里面PPO 都是不错的,不是最好的,就是第二好的。