29 KiB
PPO
From On-policy to Off-policy
在讲 PPO 之前,我们先讲一下 on-policy 和 off-policy 这两种训练方法的区别。 在强化学习里面,我们要学习的就是一个 agent。
- 如果要学习的 agent 跟和环境互动的 agent 是同一个的话, 这个叫做
on-policy(同策略)。 - 如果要学习的 agent 跟和环境互动的 agent 不是同一个的话, 那这个叫做
off-policy(异策略)。
比较拟人化的讲法是如果要学习的那个 agent,一边跟环境互动,一边做学习这个叫 on-policy。 如果它在旁边看别人玩,通过看别人玩来学习的话,这个叫做 off-policy。
为什么我们会想要考虑 off-policy ?让我们来想想 policy gradient。Policy gradient 是 on-policy 的做法,因为在做 policy gradient 时,我们需要有一个 agent、一个 policy 和一个 actor。这个 actor 先去跟环境互动去搜集资料,搜集很多的 $\tau$,根据它搜集到的资料,会按照 policy gradient 的式子去更新 policy 的参数。所以 policy gradient 是一个 on-policy 的算法。
近端策略优化(Proximal Policy Optimization,简称 PPO) 是 policy gradient 的一个变形,它是现在 OpenAI 默认的强化学习算法。
\nabla \bar{R}_{\theta}=E_{\tau \sim p_{\theta}(\tau)}\left[R(\tau) \nabla \log p_{\theta}(\tau)\right]
问题是上面这个更新的式子中的 E_{\tau \sim p_{\theta}(\tau)} 应该是你现在的 policy \theta 所采样出来的轨迹 \tau 做期望(expectation)。一旦更新了参数,从 \theta 变成 \theta' ,$p_\theta(\tau)$这个概率就不对了,之前采样出来的数据就变的不能用了。所以 policy gradient 是一个会花很多时间来采样数据的算法,你会发现大多数时间都在采样数据,agent 去跟环境做互动以后,接下来就要更新参数。你只能更新参数一次。接下来你就要重新再去收集数据, 然后才能再次更新参数。
这显然是非常花时间的,所以我们想要从 on-policy 变成 off-policy。 这样做就可以用另外一个 policy, 另外一个 actor \theta' 去跟环境做互动。用 \theta' 收集到的数据去训练 $\theta$。假设我们可以用 \theta' 收集到的数据去训练 $\theta$,意味着说我们可以把 \theta' 收集到的数据用非常多次,我们可以执行梯度上升(gradient ascent)好几次,我们可以更新参数好几次, 都只要用同一笔数据就好了。因为假设 \theta 有能力学习另外一个 actor \theta' 所采样出来的数据的话, 那 \theta' 就只要采样一次,也许采样多一点的数据, 让 \theta 去更新很多次,这样就会比较有效率。
Importance Sampling
具体怎么做呢?这边就需要介绍 importance sampling(重要性采样) 的概念。
假设你有一个函数 $f(x)$,你要计算从 p 这个分布采样 $x$,再把 x 带到 f 里面,得到 $f(x)$。你要该怎么计算这个 f(x) 的期望值?假设你不能对 p 这个分布做积分的话,那你可以从 p 这个分布去采样一些数据 $x^i$。把 x^i 代到 f(x) 里面,然后取它的平均值,就可以近似 f(x) 的期望值。
现在有另外一个问题,我们没有办法从 p 这个分布里面采样数据。假设我们不能从 p 采样数据,只能从另外一个分布 q 去采样数据,q 可以是任何分布。我们不能够从 p 去采样数据,但可以从 q 去采样 $x$。我们从 q 去采样 x^i 的话就不能直接套下面的式子:
E_{x \sim p}[f(x)] \approx \frac{1}{N} \sum_{i=1}^N f(x^i)
因为上式是假设你的 x 都是从 p 采样出来的。
所以做一个修正,修正是这样子的。期望值 E_{x \sim p}[f(x)] 其实就是 $\int f(x) p(x) dx$,我们对其做如下的变换:
\int f(x) p(x) d x=\int f(x) \frac{p(x)}{q(x)} q(x) d x=E_{x \sim q}[f(x){\frac{p(x)}{q(x)}}]
我们就可以写成对 q 里面所采样出来的 x 取期望值。我们从 q 里面采样 $x$,然后再去计算 $f(x) \frac{p(x)}{q(x)}$,再去取期望值。所以就算我们不能从 p 里面去采样数据,只要能够从 q 里面去采样数据,然后代入上式,你就可以计算从 p 这个分布采样 x 代入 f 以后所算出来的期望值。
这边是从 q 做采样,所以从 q 里采样出来的每一笔数据,你需要乘上一个重要性权重(importance weight) \frac{p(x)}{q(x)} 来修正这两个分布的差异。q(x) 可以是任何分布,唯一的限制就是 q(x) 的概率是 0 的时候,p(x) 的概率不为 0,不然这样会没有定义。假设 q(x) 的概率是 0 的时候,p(x) 的概率也都是 0 的话,那这样 p(x) 除以 $q(x)$是有定义的。所以这个时候你就可以使用重要性采样这个技巧。你就可以从 p 做采样换成从 q 做采样。
**重要性采样有一些问题。**虽然理论上你可以把 p 换成任何的 q。但是在实现上, p 和 q 不能差太多。差太多的话,会有一些问题。什么样的问题呢?
E_{x \sim p}[f(x)]=E_{x \sim q}\left[f(x) \frac{p(x)}{q(x)}\right]
虽然上式成立(上式左边是 f(x) 的期望值,它的分布是 p,上式右边是 f(x) \frac{p(x)}{q(x)} 的期望值,它的分布是 q),但如果不是算期望值,而是算方差的话,这两个方差是不一样的。两个随机变量的平均值一样,并不代表它的方差一样。
我们可以代一下方差的公式:
\operatorname{Var}_{x \sim p}[f(x)]=E_{x \sim p}\left[f(x)^{2}\right]-\left(E_{x \sim p}[f(x)]\right)^{2}
\begin{aligned}
\operatorname{Var}_{x \sim q}\left[f(x) \frac{p(x)}{q(x)}\right] &=E_{x \sim q}\left[\left(f(x) \frac{p(x)}{q(x)}\right)^{2}\right]-\left(E_{x \sim q}\left[f(x) \frac{p(x)}{q(x)}\right]\right)^{2} \\
&=E_{x \sim p}\left[f(x)^{2} \frac{p(x)}{q(x)}\right]-\left(E_{x \sim p}[f(x)]\right)^{2}
\end{aligned}
\operatorname{Var}_{x \sim p}[f(x)] 和 \operatorname{Var}_{x \sim q}\left[f(x) \frac{p(x)}{q(x)}\right] 的差别在第一项是不同的, \operatorname{Var}_{x \sim q}\left[f(x) \frac{p(x)}{q(x)}\right] 的第一项多乘了$\frac{p(x)}{q(x)}$,如果 \frac{p(x)}{q(x)} 差距很大的话,f(x)\frac{p(x)}{q(x)} 的方差就会很大。所以理论上它们的期望值一样,也就是说,你只要对 p 这个分布采样够多次,q 这个分布采样够多,你得到的结果会是一样的。但是如果你采样的次数不够多,因为它们的方差差距是很大的,所以你就有可能得到非常大的差别。
举个例子,当 p(x) 和 q(x) 差距很大的时候,会发生什么样的问题。
假设蓝线是 p(x) 的分布,绿线是 q(x) 的分布,红线是 $f(x)$。如果我们要计算 $f(x)$的期望值,从 p(x) 这个分布做采样的话,那显然 E_{x \sim p}[f(x)] 是负的,因为左边那块区域 p(x) 的概率很高,所以要采样的话,都会采样到这个地方,而 f(x) 在这个区域是负的, 所以理论上这一项算出来会是负。
接下来我们改成从 q(x) 这边做采样,因为 q(x) 在右边这边的概率比较高,所以如果你采样的点不够的话,那你可能都只采样到右侧。如果你都只采样到右侧的话,你会发现说,算 $E_{x \sim q}\left[f(x) \frac{p(x)}{q(x)}\right]$这一项,搞不好还应该是正的。你这边采样到这些点,然后你去计算它们的 f(x) \frac{p(x)}{q(x)} 都是正的。你采样到这些点都是正的。 你取期望值以后也都是正的,这是因为你采样的次数不够多。假设你采样次数很少,你只能采样到右边这边。左边虽然概率很低,但也不是没有可能被采样到。假设你今天好不容易采样到左边的点,因为左边的点,p(x) 和 q(x) 是差很多的, 这边 p(x) 很大,q(x) 很小。今天 f(x) 好不容易终于采样到一个负的,这个负的就会被乘上一个非常大的权重,这样就可以平衡掉刚才那边一直采样到正的值的情况。最终你算出这一项的期望值,终究还是负的。但前提是你要采样够多次,这件事情才会发生。但有可能采样次数不够多,E_{x \sim p}[f(x)] 跟 E_{x \sim q}\left[f(x) \frac{p(x)}{q(x)}\right] 就有可能有很大的差距。这就是重要性采样的问题。
现在要做的事情就是把重要性采样用在 off-policy 的情况。把 on-policy 训练的算法改成 off-policy 训练的算法。
怎么改呢,之前我们是拿 \theta 这个 policy 去跟环境做互动,采样出轨迹 $\tau$,然后计算 $R(\tau) \nabla \log p_{\theta}(\tau)$。现在我们不用 \theta 去跟环境做互动,假设有另外一个 policy $\theta'$,它就是另外一个 actor。它的工作是去做示范(demonstration)。\theta' 的工作是要去示范给\theta 看。它去跟环境做互动,告诉 \theta 说,它跟环境做互动会发生什么事,借此来训练 $\theta$。我们要训练的是 \theta ,\theta' 只是负责做示范,负责跟环境做互动。
我们现在的 \tau 是从 \theta' 采样出来的,是拿 \theta' 去跟环境做互动。所以采样出来的 \tau 是从 \theta' 采样出来的,这两个分布不一样。但没有关系,假设你本来是从 p 做采样,但你发现你不能从 p 做采样,所以我们不拿 \theta 去跟环境做互动。你可以把 p 换 q,然后在后面补上一个重要性权重。现在的状况就是一样,把 \theta 换成 \theta' 后,要补上一个重要性权重 $\frac{p_{\theta}(\tau)}{p_{\theta^{\prime}}(\tau)}$。这个重要性权重就是某一个轨迹 \tau 用 \theta 算出来的概率除以这个轨迹 $\tau$,用 \theta' 算出来的概率。这一项是很重要的,因为今天你要学习的是 actor \theta 和 \theta' 是不太一样的。\theta' 会见到的情形跟 \theta 见到的情形不见得是一样的,所以中间要做一个修正的项。
Q: 现在的数据是从 \theta' 采样出来的,从 \theta 换成 \theta' 有什么好处呢?
A: 因为现在跟环境做互动是 \theta' 而不是 $\theta$。所以采样出来的东西跟 \theta 本身是没有关系的。所以你就可以让 \theta' 做互动采样一大堆的数据,\theta 可以更新参数很多次,一直到 \theta 训练到一定的程度,更新很多次以后,\theta' 再重新去做采样,这就是 on-policy 换成 off-policy 的妙用。
实际在做 policy gradient 的时候,我们并不是给整个轨迹 \tau 都一样的分数,而是每一个状态-动作的对会分开来计算。实际上更新 gradient 的时候,我们的式子是长这样子的。
=E_{\left(s_{t}, a_{t}\right) \sim \pi_{\theta}}\left[A^{\theta}\left(s_{t}, a_{t}\right) \nabla \log p_{\theta}\left(a_{t}^{n} | s_{t}^{n}\right)\right]
我们用 \theta 这个 actor 去采样出 s_t 跟 $a_t$,采样出状态跟动作的对(pair),我们会计算这个状态跟动作对的 advantage, 就是它有多好。A^{\theta}\left(s_{t}, a_{t}\right) 就是累积奖励减掉 bias,这一项就是估测出来的。它要估测的是,在状态s_t 采取动作a_t 是好的,还是不好的。那接下来后面会乘上 $\nabla \log p_{\theta}\left(a_{t}^{n} | s_{t}^{n}\right)$,也就是说如果 A^{\theta}\left(s_{t}, a_{t}\right) 是正的,就要增加概率, 如果是负的,就要减少概率。
那现在用了重要性采样的技术把 on-policy 变成 off-policy,就从 \theta 变成 $\theta'$。所以现在 $s_t$、a_t 是 \theta' ,另外一个 actor 跟环境互动以后所采样到的数据。 但是拿来训练要调整参数是模型 $\theta$。因为 \theta' 跟 \theta 是不同的模型,所以你要做一个修正的项。这项修正的项,就是用重要性采样的技术,把 $s_t$、a_t 用 \theta 采样出来的概率除掉 $s_t$、a_t 用 \theta' 采样出来的概率。
=E_{\left(s_{t}, a_{t}\right) \sim \pi_{\theta^{\prime}}}\left[\frac{P_{\theta}\left(s_{t}, a_{t}\right)}{P_{\theta^{\prime}}\left(s_{t}, a_{t}\right)} A^{\theta}\left(s_{t}, a_{t}\right) \nabla \log p_{\theta}\left(a_{t}^{n} | s_{t}^{n}\right)\right]
这边 A^{\theta}(s_t,a_t) 有一个上标 $\theta$,\theta 代表说这个是 actor \theta 跟环境互动的时候所计算出来的 A。但是实际上从 \theta 换到 \theta' 的时候,A^{\theta}(s_t,a_t) 应该改成 $A^{\theta'}(s_t,a_t)$,为什么?A 这一项是想要估测说现在在某一个状态采取某一个动作,接下来会得到累积奖励的值减掉 baseline 。你怎么估 A 这一项,你就会看在状态$s_t$,采取动作$a_t$,接下来会得到的奖励的总和,再减掉 baseline。之前是 \theta 在跟环境做互动,所以你观察到的是 \theta 可以得到的奖励。但现在是 \theta' 在跟环境做互动,所以你得到的这个 advantage, 其实是根据 \theta' 所估计出来的 advantage。但我们现在先不要管那么多, 我们就假设这两项可能是差不多的。
那接下来,我们可以拆解 p_{\theta}\left(s_{t}, a_{t}\right) 和 $p_{\theta'}\left(s_{t}, a_{t}\right)$,即
\begin{aligned}
p_{\theta}\left(s_{t}, a_{t}\right)&=p_{\theta}\left(a_{t}|s_{t}\right) p_{\theta}(s_t) \\
p_{\theta'}\left(s_{t}, a_{t}\right)&=p_{\theta'}\left(a_{t}|s_{t}\right) p_{\theta'}(s_t)
\end{aligned}
于是我们得到下式:
=E_{\left(s_{t}, a_{t}\right) \sim \pi_{\theta^{\prime}}}\left[\frac{p_{\theta}\left(a_{t} | s_{t}\right)}{p_{\theta^{\prime}}\left(a_{t} | s_{t}\right)} \frac{p_{\theta}\left(s_{t}\right)}{p_{\theta^{\prime}}\left(s_{t}\right)} A^{\theta^{\prime}}\left(s_{t}, a_{t}\right) \nabla \log p_{\theta}\left(a_{t}^{n} | s_{t}^{n}\right)\right]
然后这边需要做一件事情是,假设模型是 \theta 的时候,你看到 s_t 的概率,跟模型是 \theta' 的时候,你看到 s_t 的概率是差不多的,即 $p_{\theta}(s_t)=p_{\theta'}(s_t)$。因为它们是一样的,所以你可以把它删掉,即
=E_{\left(s_{t}, a_{t}\right) \sim \pi_{\theta^{\prime}}}\left[\frac{p_{\theta}\left(a_{t} | s_{t}\right)}{p_{\theta^{\prime}}\left(a_{t} | s_{t}\right)} A^{\theta^{\prime}}\left(s_{t}, a_{t}\right) \nabla \log p_{\theta}\left(a_{t}^{n} | s_{t}^{n}\right)\right] \tag{1}
为什么可以假设它是差不多的。举例来说,会看到什么状态往往跟你会采取什么样的动作是没有太大的关系的。比如说你玩不同的 Atari 的游戏,其实你看到的游戏画面都是差不多的,所以也许不同的 \theta 对 s_t 是没有影响的。但是有一个更直觉的理由就是这一项到时候真的要你算,你会算吗?因为想想看这项要怎么算,这一项你还要说我有一个参数 $\theta$,然后拿 \theta 去跟环境做互动,算 s_t 出现的概率,这个你根本很难算。尤其是你如果输入是图片的话, 同样的 s_t 根本就不会出现第二次。你根本没有办法估这一项, 所以干脆就无视这个问题。
但是 $p_{\theta}(a_t|s_t)$很好算。你手上有 \theta 这个参数,它就是个网络。你就把s_t 带进去,s_t 就是游戏画面,你把游戏画面带进去,它就会告诉你某一个状态的 a_t 概率是多少。我们其实有个 policy 的网络,把 s_t 带进去,它会告诉我们每一个 a_t 的概率是多少。所以 \frac{p_{\theta}\left(a_{t} | s_{t}\right)}{p_{\theta^{\prime}}\left(a_{t} | s_{t}\right)} 这一项,你只要知道\theta 和 \theta' 的参数就可以算。
现在我们得到一个新的目标函数。
J^{\theta^{\prime}}(\theta)=E_{\left(s_{t}, a_{t}\right) \sim \pi_{\theta^{\prime}}}\left[\frac{p_{\theta}\left(a_{t} | s_{t}\right)}{p_{\theta^{\prime}}\left(a_{t} | s_{t}\right)} A^{\theta^{\prime}}\left(s_{t}, a_{t}\right)\right]
式(1)是 gradient,其实我们可以从 gradient 去反推原来的目标函数。我们可以用如下的公式来反推目标函数:
\nabla f(x)=f(x) \nabla \log f(x)
要注意一点,对 \theta 求梯度时,p_{\theta^{\prime}}(a_{t} | s_{t}) 和 A^{\theta^{\prime}}\left(s_{t}, a_{t}\right) 都是常数。
所以实际上,当我们使用重要性采样的时候,要去优化的那一个目标函数就长这样子,我们把它写作 $J^{\theta^{\prime}}(\theta)$。为什么写成 J^{\theta^{\prime}}(\theta) 呢,这个括号里面那个 \theta 代表我们要去优化的那个参数。\theta' 是说我们拿 \theta' 去做示范,就是现在真正在跟环境互动的是 $\theta'$。因为 \theta 不跟环境做互动,是 \theta' 在跟环境互动。
然后你用 \theta' 去跟环境做互动,采样出 $s_t$、a_t 以后,你要去计算 s_t 跟 a_t 的 advantage,然后你再去把它乘上 $\frac{p_{\theta}\left(a_{t} | s_{t}\right)}{p_{\theta^{\prime}}\left(a_{t} | s_{t}\right)}$。\frac{p_{\theta}\left(a_{t} | s_{t}\right)}{p_{\theta^{\prime}}\left(a_{t} | s_{t}\right)} 是好算的,A^{\theta^{\prime}}\left(s_{t}, a_{t}\right) 可以从这个采样的结果里面去估测出来的,所以 J^{\theta^{\prime}}(\theta) 是可以算的。实际上在更新参数的时候,就是按照式(1) 来更新参数。
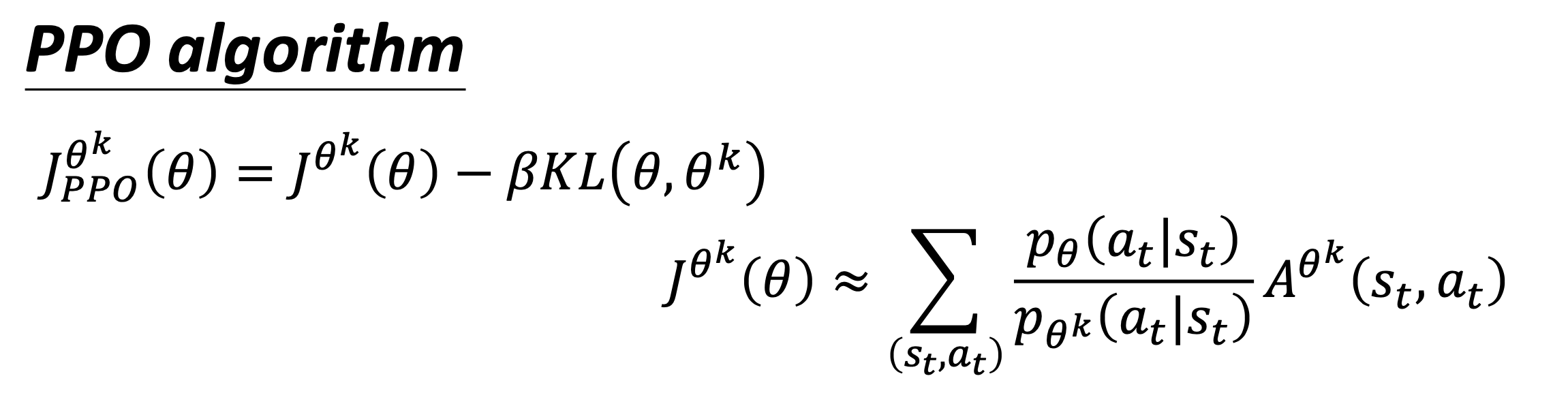
PPO
我们可以把 on-policy 换成 off-policy,但重要性采样有一个问题,如果 p_{\theta}\left(a_{t} | s_{t}\right) 跟 p_{\theta'}\left(a_{t} | s_{t}\right) 差太多的话,这两个分布差太多的话,重要性采样的结果就会不好。怎么避免它差太多呢?这个就是 Proximal Policy Optimization (PPO) 在做的事情。
PPO 实际上做的事情就是这样,在 off-policy 的方法里要优化的是 $J^{\theta^{\prime}}(\theta)$。但是这个目标函数又牵涉到重要性采样。在做重要性采样的时候,p_{\theta}\left(a_{t} | s_{t}\right) 不能跟 $p_{\theta'}\left(a_{t} | s_{t}\right)$差太多。你做示范的模型不能够跟真正的模型差太多,差太多的话,重要性采样的结果就会不好。我们在训练的时候,多加一个约束(constrain)。这个约束是 \theta 跟 \theta' 输出的动作的 KL 散度(KL divergence),简单来说,这一项的意思就是要衡量说 \theta 跟 \theta' 有多像。
然后我们希望在训练的过程中,学习出来的 \theta 跟 \theta' 越像越好。因为如果 \theta 跟 \theta' 不像的话,最后的结果就会不好。所以在 PPO 里面有两个式子,一方面是优化本来要优化的东西,但再加一个约束。这个约束就好像正则化(regularization) 的项(term) 一样,在做机器学习的时候不是有 L1/L2 的正则化。这一项也很像正则化,这样正则化 做的事情就是希望最后学习出来的 \theta 不要跟 \theta' 太不一样。
PPO 有一个前身叫做信任区域策略优化(Trust Region Policy Optimization,TRPO),TRPO 的式子如下式所示。
\begin{aligned}
J_{T R P O}^{\theta^{\prime}}(\theta)=E_{\left(s_{t}, a_{t}\right) \sim \pi_{\theta^{\prime}}}\left[\frac{p_{\theta}\left(a_{t} | s_{t}\right)}{p_{\theta^{\prime}}\left(a_{t} | s_{t}\right)} A^{\theta^{\prime}}\left(s_{t}, a_{t}\right)\right] \\ \\
\mathrm{KL}\left(\theta, \theta^{\prime}\right)<\delta
\end{aligned}
它与 PPO 不一样的地方是约束摆的位置不一样,PPO是直接把约束放到你要优化的那个式子里面,然后你就可以用梯度上升的方法去最大化这个式子。但 TRPO 是把 KL 散度当作约束,它希望 \theta 跟 \theta' 的 KL 散度小于一个 $\delta$。如果你使用的是基于梯度的优化时,有约束是很难处理的。
PPO 是很难处理的,因为它是把 KL 散度约束当做一个额外的约束,没有放目标(objective)里面,所以它很难算。所以不想搬石头砸自己的脚的话, 你就用 PPO 不要用 TRPO。看文献上的结果是,PPO 跟 TRPO 可能性能差不多,但 PPO 在实现上比 TRPO 容易的多。
Q: KL 散度 到底指的是什么?
A: 这边我是直接把 KL 散度 当做一个函数,输入是 \theta 跟 $\theta'$,但我的意思并不是说把 \theta 或 \theta' 当做一个分布,算这两个分布之间的距离,我不是这个意思。所谓的 \theta 跟 \theta' 的距离并不是参数上的距离,而是 behavior 上的距离。
假设你有一个模型,有一个 actor 它是 $\theta$,你有另外一个 actor 的参数是 \theta' ,所谓参数上的距离就是你算这两组参数有多像。这里讲的不是参数上的距离, 而是它们行为上的距离。就是你先带进去一个状态 s,它会对这个动作的空间输出一个分布。假设你有 3 个动作,3 个可能的动作就输出 3 个值。那今天所指的距离是行为距离(behavior distance)。也就是说,给定同样的状态的时候,输出动作之间的差距。这两个动作的分布都是一个概率分布。所以就可以计算这两个概率分布的 KL 散度。把不同的状态输出的这两个分布的 KL 散度平均起来才是我这边所指的两个 actor 间的 KL 散度。你可能说怎么不直接算这个 \theta 或 \theta' 之间的距离,甚至不要用 KL 散度算,L1 跟 L2 的范数(norm)也可以保证 \theta 跟 \theta' 很接近。在做强化学习的时候,之所以我们考虑的不是参数上的距离,而是动作上的距离,是因为很有可能对 actor 来说,参数的变化跟动作的变化不一定是完全一致的。有时候你参数小小变了一下,它可能输出的行为就差很多。或是参数变很多,但输出的行为可能没什么改变。**所以我们真正在意的是这个 actor 的行为上的差距,而不是它们参数上的差距。**所以在做 PPO 的时候,所谓的 KL 散度并不是参数的距离,而是动作的距离。
PPO-Penalty
PPO 算法有两个主要的变种:PPO-Penalty 和 PPO-Clip。
我们来看一下 PPO1 的算法,即 PPO-Penalty。它先初始化一个 policy 的参数 $\theta^0$。然后在每一个迭代里面呢,你要用参数 $\theta^k$,\theta^k 就是你在前一个训练的迭代得到的 actor 的参数,你用 \theta^k 去跟环境做互动,采样到一大堆状态-动作的对。
然后你根据 \theta^k 互动的结果,估测一下$A^{\theta^{k}}\left(s_{t}, a_{t}\right)$。然后你就使用 PPO 的优化的公式。但跟原来的 policy gradient 不一样,原来的 policy gradient 只能更新一次参数,更新完以后,你就要重新采样数据。但是现在不用,你拿 \theta^k 去跟环境做互动,采样到这组数据以后,你可以让 \theta 更新很多次,想办法去最大化目标函数。这边 \theta 更新很多次没有关系,因为我们已经有做重要性采样,所以这些经验,这些状态-动作的对是从 \theta^k 采样出来的没有关系。\theta 可以更新很多次,它跟 \theta^k 变得不太一样也没有关系,你还是可以照样训练 $\theta$。
在 PPO 的论文里面还有一个 adaptive KL divergence。这边会遇到一个问题就是 \beta 要设多少,它就跟正则化一样。正则化前面也要乘一个权重,所以这个 KL 散度前面也要乘一个权重,但 \beta 要设多少呢?所以有个动态调整 \beta 的方法。
- 在这个方法里面呢,你先设一个 KL 散度,你可以接受的最大值。然后假设你发现说你优化完这个式子以后,KL 散度的项太大,那就代表说后面这个惩罚的项没有发挥作用,那就把
\beta调大。 - 那另外你定一个 KL 散度的最小值。如果发现优化完上面这个式子以后,KL 散度比最小值还要小,那代表后面这一项的效果太强了,你怕他只弄后面这一项,那
\theta跟\theta^k都一样,这不是你要的,所以你这个时候你叫要减少 $\beta$。
所以 \beta 是可以动态调整的。这个叫做 adaptive KL penalty。
PPO-Clip
如果你觉得算 KL 散度 很复杂,有一个PPO2,PPO2 即 PPO-Clip。PPO2 要去最大化的目标函数如下式所示,它的式子里面就没有 KL 散度 。
\begin{aligned}
J_{P P O 2}^{\theta^{k}}(\theta) \approx \sum_{\left(s_{t}, a_{t}\right)} \min &\left(\frac{p_{\theta}\left(a_{t} | s_{t}\right)}{p_{\theta^{k}}\left(a_{t} | s_{t}\right)} A^{\theta^{k}}\left(s_{t}, a_{t}\right),\right.\\
&\left.\operatorname{clip}\left(\frac{p_{\theta}\left(a_{t} | s_{t}\right)}{p_{\theta^{k}}\left(a_{t} | s_{t}\right)}, 1-\varepsilon, 1+\varepsilon\right) A^{\theta^{k}}\left(s_{t}, a_{t}\right)\right)
\end{aligned}
这个式子看起来有点复杂,但实际实现就很简单。我们来看一下这个式子到底是什么意思。
- Min 这个操作符(operator)做的事情是第一项跟第二项里面选比较小的那个。
- 第二项前面有个 clip 函数,clip 函数的意思是说,
- 在括号里面有 3 项,如果第一项小于第二项的话,那就输出
1-\varepsilon。 - 第一项如果大于第三项的话,那就输出 $1+\varepsilon$。
- 在括号里面有 3 项,如果第一项小于第二项的话,那就输出
\varepsilon是一个超参数,你要 tune 的,你可以设成 0.1 或 设 0.2 。
假设这边设 0.2 的话,如下式所示
\operatorname{clip}\left(\frac{p_{\theta}\left(a_{t} | s_{t}\right)}{p_{\theta^{k}}\left(a_{t} | s_{t}\right)}, 0.8, 1.2\right)
如果 \frac{p_{\theta}\left(a_{t} | s_{t}\right)}{p_{\theta^{k}}\left(a_{t} | s_{t}\right)} 算出来小于 0.8,那就当作 0.8。如果算出来大于 1.2,那就当作1.2。
我们先看看下面这项这个算出来到底是什么东西:
\operatorname{clip}\left(\frac{p_{\theta}\left(a_{t} | s_{t}\right)}{p_{\theta^{k}}\left(a_{t} | s_{t}\right)}, 1-\varepsilon, 1+\varepsilon\right)
上图的横轴是 $\frac{p_{\theta}\left(a_{t} | s_{t}\right)}{p_{\theta^{k}}\left(a_{t} | s_{t}\right)}$,纵轴是 clip 函数的输出。
- 如果
\frac{p_{\theta}\left(a_{t} | s_{t}\right)}{p_{\theta^{k}}\left(a_{t} | s_{t}\right)}大于$1+\varepsilon$,输出就是 $1+\varepsilon$。 - 如果小于 $1-\varepsilon$, 它输出就是 $1-\varepsilon$。
- 如果介于
1+\varepsilon跟1-\varepsilon之间, 就是输入等于输出。
\frac{p_{\theta}\left(a_{t} | s_{t}\right)}{p_{\theta^{k}}\left(a_{t} | s_{t}\right)}是绿色的线;\operatorname{clip}\left(\frac{p_{\theta}\left(a_{t} | s_{t}\right)}{p_{\theta^{k}}\left(a_{t} | s_{t}\right)}, 1-\varepsilon, 1+\varepsilon\right)是蓝色的线;- 在绿色的线跟蓝色的线中间,我们要取一个最小的。假设前面乘上的这个项 A,它是大于 0 的话,取最小的结果,就是红色的这一条线。
如果 A 小于 0 的话,取最小的以后,就得到红色的这一条线。
虽然这个式子看起来有点复杂,实现起来是蛮简单的,因为这个式子想要做的事情就是希望 p_{\theta}(a_{t} | s_{t}) 跟 $p_{\theta^k}(a_{t} | s_{t})$,也就是你拿来做示范的模型跟你实际上学习的模型,在优化以后不要差距太大。
怎么让它做到不要差距太大呢?
- 如果 A > 0,也就是某一个状态-动作的对是好的,那我们希望增加这个状态-动作对的概率。也就是说,我们想要让
p_{\theta}(a_{t} | s_{t})越大越好,但它跟p_{\theta^k}(a_{t} | s_{t})的比值不可以超过 $1+\varepsilon$。如果超过1+\varepsilon的话,就没有 benefit 了。红色的线就是我们的目标函数,我们希望目标越大越好,我们希望p_{\theta}(a_{t} | s_{t})越大越好。但是\frac{p_{\theta}\left(a_{t} | s_{t}\right)}{p_{\theta^{k}}\left(a_{t} | s_{t}\right)}只要大过 $1+\varepsilon$,就没有 benefit 了。所以今天在训练的时候,当p_{\theta}(a_{t} | s_{t})被训练到\frac{p_{\theta}\left(a_{t} | s_{t}\right)}{p_{\theta^{k}}\left(a_{t} | s_{t}\right)}>1+\varepsilon时,它就会停止。假设p_{\theta}(a_{t} | s_{t})比p_{\theta^k}(a_{t} | s_{t})还要小,并且这个 advantage 是正的。因为这个动作是好的,我们当然希望这个动作被采取的概率越大越好,我们希望p_{\theta}(a_{t} | s_{t})越大越好。所以假设p_{\theta}(a_{t} | s_{t})还比p_{\theta^k}(a_{t} | s_{t})小,那就尽量把它挪大,但只要大到1+\varepsilon就好。 - 如果 A < 0,也就是某一个状态-动作对是不好的,我们希望把
p_{\theta}(a_{t} | s_{t})减小。如果p_{\theta}(a_{t} | s_{t})比p_{\theta^k}(a_{t} | s_{t})还大,那你就尽量把它压小,压到\frac{p_{\theta}\left(a_{t} | s_{t}\right)}{p_{\theta^{k}}\left(a_{t} | s_{t}\right)}是1-\epsilon的时候就停了,就不要再压得更小。
这样的好处就是,你不会让 p_{\theta}(a_{t} | s_{t}) 跟 p_{\theta^k}(a_{t} | s_{t}) 差距太大。要实现这个东西,很简单。
上图是 PPO 跟其它方法的比较。Actor-Critic 和 A2C+Trust Region 方法是基于 actor-critic 的方法。PPO 是紫色线的方法,这边每张图就是某一个 RL 的任务,你会发现说在多数的情况(cases)里面,PPO 都是不错的,不是最好的,就是第二好的。












